рефераты
Главная

Рефераты по рекламе

Рефераты по философии

Рефераты по финансам

Рефераты по химии

Рефераты по цифровым устройствам

Рефераты по экологическому праву

Рефераты по экономико-математическому моделированию

Рефераты по экономической географии

Рефераты по экономической теории

Рефераты по этике

Рефераты по юриспруденции

Рефераты по языковедению

Рефераты по юридическим наукам

Рефераты по истории

Рефераты по компьютерным наукам

Рефераты по медицинским наукам

Рефераты по финансовым наукам

Рефераты по управленческим наукам

Рефераты по строительным наукам

Психология педагогика

Промышленность производство

Биология и химия

Языкознание филология

Издательское дело и полиграфия

Рефераты по краеведению и этнографии

Рефераты по религии и мифологии

Рефераты по медицине

Рефераты по сексологии

Рефераты по москвоведению

Рефераты по экологии

Краткое содержание произведений

Рефераты по физкультуре и спорту

Топики по английскому языку

Рефераты по математике

Рефераты по музыке

Остальные рефераты

Шпаргалка: Билеты по химии 10 класс

Шпаргалка: Билеты по химии 10 класс

Билеты по химии за курс 10 класса.

Билет №1

Периодический закон и периодическая система химических элементов Д. И. Менделеева на основе представлений о строении атомов. Значение периодического закона для развития науки.

В 1869 г. Д. И. Менделеев на основе анализа свойств простых веществ и соединений сформулировал Периодический закон:

Свойства простых тел... и соединений элементов находятся в периодической зависимости от вели­чины атомных масс элементов.

На основе периодического закона была составлена периодическая система элементов. В ней элементы со сходными свойствами оказались объединены в верти­кальные столбцы — группы. В некоторых случаях при размещении элементов в Периодической системе приходилось нарушать последовательность возрастания атомных масс, чтобы соблюда­лась периодичность повторения свойств. Например, пришлось "поменять местами" теллур и йод, а также аргон и калий.

Причина состоит в том, что Менделеев предложил периодической закон в то время, когда не было ничего известно о строении атома.

После того, как в XX веке была предложена планетарная модель атома, периодический закон формулируется следующим образом:

Свойства химических элементов и соединений на­ходятся в периодической зависимости от зарядов атомных ядер.

Заряд ядра равен номеру элемента в периодической системе и числу электронов в электронной оболочке атома.

Эта формулировка объяснила "нарушения" Перио­дического закона.

В Периодической системе номер периода равен числу электронных уровней в атоме, номер группы для эле­ментов главных подгрупп равен числу электронов на внешнем уровне.

Причиной периодического изменения свойств химиче­ских элементов является периодическое заполнение электронных оболочек. После заполнения очередной оболочки начинается новый период. Периодическое изменение элементов ярко видно на изменении состава и свойств и свойств оксидов.

Научное значение периодического закона. Периоди­ческий закон позволил систематизировать свойства хи­мических элементов и их соединений. При составлении периодической системы Менделеев предсказал сущест­вование многих еще не открытых элементов, оставив для них свободные ячейки, и предсказал многие свойст­ва неоткрытых элементов, что облегчило их открытие.

Билет №2

Строение атомов химических элементов на примере элементов второго периода и IV-A группы периодической системы химических элементов Д. И. Менделеева. Закономерности в изменении свойств этих химических элементов и образованных ими простых и сложных веществ (оксидов, гидроксидов) в зависимости от строения их атомов.

При перемещении слева направо вдоль периода металлические свойства элементов стано­вятся все менее ярко выраженными. При перемещении сверху вниз в пределах одной группы элементы, наоборот, обнаруживают все более ярко выраженные металлические свойства. Элементы, расположенные в средней части коротких периодов (2-й и 3-й периоды), как правило, имеют каркасную ковалентнуто структуру, а элементы из правой части этих периодов существуют в виде простых ковалентных молекул.

Атомные радиусы изменяются следующим образом: уменьшаются при перемещении слева направо вдоль периода; увеличиваются при перемещении сверху вниз вдоль группы. При перемещении слева направо по периоду возрастает электроотрицательность, энергия ионизации и сродство к электрону, которые достигают максимума у галогенов. У благородных же газов электроотрицательность равна 0. Изменение сродства к электрону элементов при перемещении сверху вниз вдоль группы не столь характерны, но при этом уменьшается электроотрицательность элементов.

В элементах второго периода заполняются 2s, а затем 2р-орбитали.

   

Главная подгруппа IV группы периодической системы химических элементов Д. М. Менделеева содержит углерод С, кремний Si, германий Ge, олово Sn и свинец Pb. Внешний электронный слой этих элементов содержит 4 электрона (конфигурация s2p2). Поэтому элементы подгруппы углерода должны иметь некото­рые черты сходства. В частности, их высшая степень окисления одинакова и равна +4.

А чем обусловлено различие в свойствах элементов подгруппы? Различием энергии ионизации и радиуса их атомов. С увеличением атомного номера свойства элементов закономерно изменяются. Так, углерод и кремний — типичные неметаллы, олово и свинец — металлы. Это проявляется прежде всего в том, что углерод образует простое вещество-неметалл (алмаз), а свинец типичный металл.

Германий занимает промежуточное положение. Согласно строению электронной оболочки атома p-элементы IV группы имеют четные степени окисления: +4, +2, – 4. Фор­мула простейших водородных соединений — ЭН4, причем связи Э—Н ковалентны и равноценны вследствие гибридизации s- и р- орбиталей с образованием направленных под тетраэдрическими углами sp3 -орбиталей.

Ослабление признаков неметаллического элемента означает, что в подгруппе (С—Si—Ge—Sn—Pb) высшая положительная степень окисления +4 становится все менее характерной, а более типичной становится степень окисления +2. Так, если для углеро­да наиболее устойчивы соединения, в которых он имеет степень окисления +4, то для свинца устойчивы соединения, в которых он проявляет степень окисления +2.

А что можно сказать об устойчивости соединений элементов в отрицательной степени окисления —4? По сравнению с неме­таллическими элементами VII—V групп признаки неметалличе­ского элемента р-элементы IV группы проявляют в меньшей степени. Поэтому для элементов подгруппы углерода отрицатель­ная степень окисления нетипична.

Билет №3.

Виды химической связи и способы ее образования в неорганических соединениях: ковалентная (полярная, неполярная, простые и кратные связи), ионная, водородная.

Ковалентная связь образуется за счет перекрывания электронных облаков двух атомов. Каждый атом предоставляет один неспаренный электрон для образования одной химической связи, при этом происходит образование общей электронной пары. Если ковалентная связь образуется между двумя одинаковыми атомами, она называется неполярной.

Если ковалентная связь образуется между двумя различными атомами, общая электронная пара смеща­йся к атому с большей электроотрицательностью (электроотрицательностью называется способность атома притягивать электроны). В этом случае возникает полярная ковалентная связь.

Частным случаем ковалентной связи является донорно-акцепторная связь. Для ее образованья у одного атома должна быть свободная орбиталь на внешнем электронном уровне, а у другого — пара электронов. Один атом (донор) предоставляет другому (акцептору) свою электронную пару, в результате она становится общей, образуется химическая связь. Пример — моле­кула СО:

Ионная связь образуется между атомами с сильно отличающейся электроотрицательностью. При этом один атом отдает электроны и превращается в положи­тельно заряженный ион, а атом, получивший электро­ны, в отрицательно заряженный. Ионы удерживаются вместе за счет сил электростатического притяжения.

Водородная связь образуется между полярными мо­лекулами (вода, спирты, аммиак) за счет притяжения разноименных зарядов.

Прочность водородной связи существенно (~20 раз) меньше, чем ионной или ковалентной связи.

Билет №4.

Классификация химических реакций в неорганической химии.

Классификация по составу исходных веществ и продуктов реакции.

Реакции соединения — из нескольких веществ (простых или сложных) образуется сложное вещество:

Реакции разложения — сложное вещество превра­щается в несколько веществ (простых или сложных):

Реакции замещения — из простого и сложного веществ образуется простое и сложное вещества:

Реакции обмена — из двух сложных веществ образуются два сложных вещества:

Классификация по изменению степени окисления.

Окислительно-восстановительные реакции — в ходе реакции происходит изменение степеней окисления элементов:

Реакции ионного обмена — изменения степеней окисления не происходит:

Классификация во тепловому эффекту.

Экзотермические реакции — в ходе реакции выделя­ется тепло:

Эндотермические реакции — в ходе реакции погло­щается тепло:

Билет №5.

Электролиты и неэлектролиты. Электролическая диссоциация неорганических кислот, солей, щелочей. Степень диссоциации.

Электролиты и неэлектролиты

Электрический ток — направленное движение заря­женных частиц под действием внешнего электромагнит­ного поля.

Заряженные частицы:

электроны — ток в металлах;

ионы — ток в растворах.

Электролиты — вещества, растворы которых проводят электрический ток: растворимые кислоты, щелочи, соли. Связь ионная или сильнополярная.

Неэлектролиты — вещества, растворы которых не проводят электрический ток: большинство органических веществ. Связь неполярная или слабополярная.

Электролитическая диссоциация

Электролитическая диссоциация — распад электролита на ионы под действием полярных молекул растворителя.

Основы теории электролитической диссоциации – С.Аррениус, 1887г.:

1. Электролиты при растворении в воде диссоциируют.

2. Под действием электрического тока ионы движутся в растворе: положительно заряженные - к катоду, отри­цательно заряженные — к аноду.

3. Диссоциация – обратимый процесс

В молекуле воды связь ковалентная полярная, моле­кула угловая, следовательно, молекула воды — диполь.

Причина диссоциации веществ с ионной связью: ди­поли воды разрушают кристаллическую решетку.

Причина диссоциации веществ с ковалентной поляр­ной связью: молекулы воды вызывают еще большую по­ляризацию связи вплоть до ее разрыва.

Степень диссоциации. Сильные и слабые электролиты

Степень диссоциации — отношение числа распавших­ся молекул к общему числу молекул растворенного ве­щества:

Если а ® 1, то электролит сильный. В растворе прак­тически нет молекул. Примеры: НСl; NaOH; KBr.

Если а ® 0, то электролит слабый. В растворе много молекул и мало ионов. Примеры: H2S; NH3; Fe(SCN)3.

Диссоциация кислот, щелочей и солей

Кислоты — электролиты, в растворах которых нет дру­гих катионов, кроме катионов водорода.

Многоосновные кислоты диссоциируют ступенчато:

Основания — электролиты, в растворах которых нет других анионов, кроме гидроксид-ионов.

Соли — электролиты, в растворах которых есть кати­оны металлов или ион аммония и анионы кислотных ос­татков.

Билет №5. (углубленный)

Электролиты и неэлектролиты. Электролическая диссоциация неорганических кислот, солей, щелочей. Степень диссоциации.

Электролит проводит электрический ток в результате того, что направленное переме­щение его ионов создает поток электрических зарядов. Таким образом, пропускание электрического тока через электролит сопровождается переносом вещества.

Электролитами чаще всего являются такие соединения, как кислоты, основания или соли, находящиеся в расплавленном состоянии или в водных растворах. Способ­ность электролитов проводить электрический ток называется электролитической прово­димостью. Ее следует отличать от электронной проводимости обычных проводников электрического тока, например металлов. В веществах с электронной проводимостью поток заряда обусловлен потоком электронов, а не перемещением ионов. Поэтому пропускание электрического тока через проводники с электронной проводимостью не сопровождается переносом вещества.

Электролиты в свою очередь могут быть подразделены на два типа: сильные и слабые электролиты. Сильный электролит – это соединение, которое в расплавленном состоянии или в растворе полностью ионизировано. Примером сильного электролита может служить соляная кислота. При растворении хлороводорода в воде происходит его полная ионизация:

В этом уравнении использована простая (а не двойная) стрелка, чтобы показать, что процесс идет в указанную сторону до полного завершения.

Слабый электролит – это вещество, которое диссоциирует на ионы лишь частично. Следовательно, в растворе устанавливается равновесие между недиссоциированными молекулами такого вещества и диссоциированными ионами. Примером слабого электролита является уксусная кислота:

Органические кислоты и основания обычно являются слабыми электролитами.

Неэлектролит вообще не диссоциирует на ионы и поэтому не обладает спо­собностью проводить электрический ток. Большинство органических соединений при­надлежат к неэлектролитам.

Механизм электролитической диссоциации — распада молекул или кристаллов растворяемого вещества на ионы под влиянием моле­кул растворителя — был понят несколько позднее. Согласно современным воз­зрениям, такой распад является результатом взаимодействия поляр­ных молекул растворителя, например воды, с молекулами или крис­таллической решеткой растворяемого вещества. Молекулы раствори­теля атакуют кристаллическую решетку, разрушая ее и переводя составные части решетки (ионы) в раствор в форме сольватированных (гидратированных) заряженных частиц Окружающие эти ионы полярные молекулы растворителя ориентированы в соответствии с зарядом ионов. Растворение электролита в известной мере упорядочи­вает молекулы растворителя. Естественно предположить, что эта способность к упорядочению молекул растворителя у многозарядных ионов выражена сильнее, чем у однозарядных. В этом и нужно искать причину того, что соли, содержащие многозарядные ионы, плохо растворимы (в ряде случаев практически нерастворимы) в воде. На­пример, хлорид бария растворим хорошо, а сульфат бария — очень плохо. Следовательно, влияние растворенного вещества и растворителя является обоюдным: полярные молекулы растворителя разрушают кристаллическую решетку растворяемого вещества на отдельные ионы, а эти ионы, переходя в раствор, вызывают изменение растворителя, заставляя его молекулы упорядочиваться. Кроме того, сольватированные ионы растворенного вещества не индифферентны по отноше­нию друг к другу. Противоположно заряженные ионы имеют тен­денцию притягиваться силами электростатического взаимодействия, образуя нейтральные молекулы или нейтральные группы молекул. Разумеется, в реальном растворе всегда присутствуют как отдельные сольватированные ионы, так и нейтральные молекулы.

Действие растворителя на растворенное вещество настолько ве­лико, что может вызывать электролитическую диссоциацию веществ, не обладающих ионным типом связи. Например, полярные молекулы хлороводорода, растворяясь в воде, разрываются ее молекулами на ионы. При растворении хлороводорода в бензоле, являющемся менее полярным растворителем, чем вода, диссоциации молекул не проис­ходит. Поэтому раствор хлороводорода (кислота) в воде проводит электрический ток, а в бензоле нет.

Степень электролитической диссоциации a – число, показываю­щее, какая часть молекул электролита находится в растворе в виде ионов.

Согласно этому определению

Очевидно, во всех растворах неэлектролитов, где диссоциация на ионы полностью отсутствует, a=0, а в растворах, в которых все растворенное вещество присутствует в форме ионов (полная диссо­циация), a=1. Очень часто для растворов средней и высокой кон­центраций (с»5,0%...с»10,0%) считают, что слабые электролиты характеризуются a£0,03, а сильные – a³0,30. Электролиты сред­ней силы характеризуются промежуточными значениями степени дис­социации: 0,03£a£0,30. Однако необходимо отметить, что предложенная классификация является в значительной степени условной (особенно в случае слабых электролитов и электролитов средней силы). Это объясняется следующим. Степень диссоциации в общем случае зависит от природы электролита и растворителя, от концентрации и температуры раствора. Для растворов, образованных одними и теми же компонентами (растворителем и растворенным веществом), наи­больший интерес представляет зависимость степени диссоциации от концентрации раствора. Для слабых электролитов типа H+B– (кис­лота) или А+ОН– (основание) степень диссоциации ос и концентрация раствора с связаны зависимостью:

где Кi — константа, характеризующая способность того или иного слабого электролита к диссоциации.

При малых значениях a (a£0,05) разность 1–a приблизитель­но равна 1. Тогда из этого уравнения  можно получить:

что является математическим выражением закона разведения Оствальда: степень диссоциации слабого электролита в растворе тем выше, чем более разбавлен раствор.

Допустим, что при растворении электролита ВА в воде образуется раствор, имеющий концентрацию с. В результате некоторая часть а электролита ВА диссоциирует, образуя ионы B+ и А–. Величина a называется степенью диссоциации. Равновесная концентрация неионизированного электролита ВА оказывается равной с(1– a). Таким образом, можно записать

Запишем теперь выражение для константы равновесия рассматриваемой диссоциации

Подставив в это выражение равновесные концентрации участников диссоциации, получим

Это соотношение и представляет собой закон разбавления Оствальда. Константа Кс называется константой диссоциации электролита. Чем больше Kc, тем сильнее электро­лит.

Билет №6.

Обратимые и необратимые химические реакции. Химическое равновесие и условия его смещения (изменение концентрации реагентов, температуры, давления).

Необратимые реакции протекают до полного расходования одного из исходных веществ, т. е. если одно из получающихся веществ выпадает в осадок или выделяется в виде газа:

Обратимые реакции протекают до достижения состояния химического равновесия.

Химическое равновесие — состояние, при кото­ром скорости прямой и обратной реакций равны.

Обратимые реакции протекают до достижения состояния равновесия.

Обратимость многих реакций кажущаяся. Так, реакция водорода с кислородом с образованием воды кажется обратимой. Однако при температуре 2000°С с заметной скоростью протекает обратный процесс — разложение воды на водород и кислород и устанавливается равновесие.

Смещение химического равновесия при изменении условий описывается принципом Ле-Шателье.

При изменении внешних условий равновесие реакции смещается таким образом, чтобы уменьшить это воздействие.

Смещение равновесия при изменении температуры. В случае экзотермической реакции (протекающей с выделением тепла) равновесие смещается влево (в сторону исходных веществ) при повышении температуры, и вправо (в сторону продуктов реакции) при понижений температуры:                                     |

В случае эндотермической реакции (протекающей с поглощением тепла) равновесие смещается вправо при повышении температуры и влево при понижении тем­пературы:

Смещение равновесия при изменении давления.

Если реакция протекает с увеличением числа молекул газообразных веществ, при повышении давления равновесие смещается влево, а при понижении давления вправо:

Если реакция протекает с уменьшением числа мо­лекул газообразных веществ, то при повышении давления равновесие смещается вправо, а при понижений давления влево:

Если реакция протекает без изменения числа моле­кул газообразных веществ, то при изменении давления равновесие не смещается:

Билет №7.

Реакции ионного обмена. Условия их необратимости.

В растворах электролитов реакции протекают между ионами.

Реакции ионного обмена — окислительно-восстановительная реакция, которая идет в направлении связы­вания ионов, но при которой не происходит изменения степеней окисления.

Условия течения реакций в растворах электролитов до конца:

1) в результате реакции выпадает осадок:

2) в результате реакции выделяется газ:

3) в результате реакции образуется малодиссоциирующее вещество:

Ионный обмен – это процесс, в результате которого ионы, находящиеся в твердой фазе. обмениваются с ионами, находящимися в растворе. Нерастворимое твердое вещество может представлять собой какой-либо природный материал либо синтетическую смолу. Природные материалы, используемые для ионного обмена, включают цеолиты (комплексные алюмосиликаты натрия) и глауконитовый песок.

На поверхности этих твердых веществ имеются электрически заряженные центры, расположенные на более или менее регулярном расстоянии друг от друга. Эти центры удерживают на себе простые ионы с зарядами противоположного знака. Именно эти ионы обмениваются с другими ионами, содержащимися в растворе.

Катионообменники. Катионообменные материалы состоят из трех частей:

1) основная масса, или скелет, обычно обозначаемый символом R–;

2) активные центры (такие группы, как — либо —);

3) катионы, подлежащие обмену (обычно это ионы Н+ или Н3О+).

Когда твердый катионообменник приходит в соприкосновение с раствором, в котором содержатся какие-либо ионы, между ними устанавливается равновесие. Например,

Если первоначально раствор содержит, например, хлорид натрия, то ионы натрия обме­ниваются с ионами водорода и из нижней части колонки вытекает разбавленный раствор соляной кислоты.

Ионообменный материал можно регенерировать (восстанавливать), промывая колонку разбавленной соляной кислотой. Это приводит к смещению влево рас­сматриваемого равновесия, в результате чего ионы натрия замещаются ионами водорода.

Анионообменники. Анионообменник удаляет из раствора анионы. Типичным при­мером анионного обмена является следующее равновесие:

Для регенерации анионообменника может использоваться какое-либо основание, на­пример раствор гидроксида натрия. Это сдвигает указанное равновесие влево.

Билет №8.

Скорость химических реакций. Факторы, влияющие на скорость химической реакции (зависимость скорости от природы, концентрации вещества, площади поверхности соприкосновения реагирующих веществ, температуры, катализатора).

Скоростью химической реакции называется изме­нение количества вещества за единицу времени в единице объема.

Скорость реакции зависит от природы реагирующих веществ.

При реакции металлов с соляной кислотой, чем левее расположен металл в раду напряжений, тем быстрее протекает реакция, а металлы, находящиеся правее водорода, не реагируют вообще:

Скорость реакции увеличивается при увеличении концен­трации реагирующих веществ.

Горение веществ в чистом кислороде происходит быстрее, чем в воздухе, содержание кислорода в котором составляет 21%:

Скорость реакции увеличивается при увеличении поверхности соприкосновения реагирующих веществ.

Железные опилки быстрее реагируют с соляной кислотой, чем железные гвозди:

Скорость реакции увеличивается с увеличением темпера-

Железо при обычной температуре реагирует с хло­ром очень медленно, при высокой же температуре про­текает бурная реакция (железо горит в хлоре):

Водород восстанавливает оксиды металлов при на­гревании, при комнатной температуре эта реакция не идет, то есть ее скорость равна 0:

Скорость многих реакций увеличивается в присутствии специальных веществ — катализаторов.

Катализаторы увеличивают скорость реакции, но по окончании реакции остаются неизменными.

Примеры каталитических реакций:

(реакция сильно ускоряется в присутствии МnО2).

(реакция протекает только в присутствии катализаторов — платины, оксида ванадия (V), железа и др).

Билет №9.

Общая характеристика металлов главных подгрупп I – III групп (I-A – III-A групп) в связи с их положением в периодической системе химических элементов Д. И. Менделеева и особенности строение их атомов, металлическая химическая связь, химические свойства металлов как восстановителей.

В периодической системе элементов металлы в основном располагаются в главных подгруппах I—Ill групп, а также в побочных подгруппах.

В IA группе у атомов элементов на внешнем энергетическом уровне находится 1 электрон в состоянии s1, во IIA группе у атомов на внешнем ЭУ 2 электрона в состоянии s2. Эти элементы относятся к s-элементам. В IIIA группе у всех элементов на внешнем ЭУ 3 электрона в состоянии s2p1. Они относятся к p-элементам.

В IA группу входят щелочные металлы Li, Na, K, Rb, Cs, Fr, активность которых при движении сверху вниз увеличивается вследствие увеличения радиуса атомов, металлические свойства возрастают также, как и у щелочеземельных металлов IIA группы Be, Mg, Ca, Sr, Ba, Ra и металлов IIIA группы Al, Ga, In, Tl.

Оксиды типа R2O характерны только для Li, для всех остальных щелочных металлов характерны пероксиды R2O2, которые являются сильными окислителями.

Все металлы этих групп образуют основные оксиды и гидроксиды, кроме Be и Al, которые проявляют амфотерные свойства.

Химические свойства. Атомы металлов имеют больший радиус, чем атомы неметаллов, поэтому легко те­ряют валентные электроны. Вследствие этого металлы проявляют восстановительные свойства.

Билет №10.

Общая характеристика неметаллов главных подгрупп IV – VII групп (IV-A – VII-A) в связи с их положением в периодической системе химических элементов Д. И. Менделеева и особенностями строения их атомов. Изменение окислительно-восстановительных свойств неметаллов на примере элементов VI-A группы.

KKK

При движении сверху вниз по группам увеличивается радиус атома и следовательно уменьшаются окислительные свойства.

Сравнительная характеристика окисли­тельно-восстановительных свойств неметаллов на примере кислорода и серы.

Схемы электронных оболочек:

На внешнем электронном уровне атомов кислорода и серы находится по 6 электронов.

У кислорода окислительные свойства выражены силь­нее, так как радиус атома меньше и валентные элек­троны сильнее притягиваются к ядру. Для кислорода наиболее характерна степень окисления —2, прояв­ляющаяся при достройке внешнего энергетического уровня до 8 электронов.

Сера также может являться окислителем, проявляя степень окисления —2, но характерны также степени окисления +4 (при потере 4 р-электронов) и +6 (при потере всех шести валентных электронов).

В реакциях с металлами ки­слород и сера проявляют окислительные свойства, обра­зуя оксиды и сульфиды соответственно:

В реакциях с неметаллами кислород проявляет свойства окислителя:

Сера может быть как окислителем

так и восстановителем:

Сера выступает в роли восстановителя в реакции с концентрированной азотной кислотой:

Билет №11.

Аллотропия веществ, состав, строение, свойства аллотропных модификаций.

Если какой-либо элемент может существовать в двух или нескольких твердых формах (кристаллических либо аморфных), то считается, что он проявляет аллотро­пию. Различные формы одного элемента называются аллотропами. Аллотропы сущест­вуют приблизительно у половины всех элементов.

Например, углерод существует в виде алмаза либо графита. Сера существует в двух кристаллических формах - ромбической и моноклинной - в зависимости от темпера­туры. Обе ее кристаллические формы являются примерами молекуляр­ных кристаллов. Молекулы в них представляют собой гофрированные циклы, в каждом из которых содержится по восемь ковалентно связанных атомов серы. Твердая сера может существовать еще в третьей аллотропной форме как пластическая сера. Эта форма серы неустойчива. Она состоит из длинных цепочек атомов серы, которые при комнатной температуре разрушаются и снова образуют молекулы S8, кристаллизующиеся в ромбическую решетку.

Фосфор может существовать в трех аллотропных формах. Наиболее устойчивая из них-красный фосфор. Красный фосфор имеет каркасную кристал­лическую структуру, в которой каждый атом ковалентно связан с тремя другими атомами фосфора. Белый фосфор представляет собой молекулярный кристалл. Каждая его молекула содержит четыре атома фосфора, ковалентно связанных в тетраэдричес-кую структуру. Третий аллотроп - черный фосфор - образуется только при высоких давлениях. Он существует в виде макромолекулярной слоистой структуры.

Билет №12.

Электролиз растворов и расплавов солей (на примере хлорида натрия). Практическое значение электролиза.

Электролизом называются реакции в растворах или расплавах электролитов, происходящие под действием электрического тока.

В расплавах или растворах происходит диссоциация электролита. Катионы смещаются к катоду, анионы — к аноду.

Электролиз расплавов. На катоде происходит восстановление катионов, на аноде — окисление анионов.

Электролиз расплава хлорида натрия. На катоде восстанавливаются катионы Na+ и выделяется металлический натрий, на аноде окисляются хло­рид-ионы и выделяется хлор:

Электролиз водных растворов. В процессах на като­де и аноде могут участвовать не только ионы электролита, но и молекулы воды.

Будут ли на катоде восстанавливаться катионы металла или молекулы воды, зависит от положения металла в ряду напряжений металлов.

Если металл находится в ряду напряжений правее водорода, на катоде восстанавливаются катионы металла; если металл находится в ряду напряжений левее водорода, на катоде восстанавливаются молекулы воды и выделяется водород. Наконец, в случае катионов металлов от цинка до свинца может происходить либо выделение металла, либо выделение водорода, в зависимости от концентрации раствора и других условий.

На аноде также может происходить либо окисление анионов электролита, либо окисление молекул воды. При электролизе солей бескислородных кислот или са­мих кислот на аноде окисляются анионы (кроме F–.) В случае кислородсодержащих кислот на аноде окисляют­ся молекулы воды и выделяется кислород.

Электролиз раствора хлорида натрия. На катоде восстанавливаются молекулы воды и выделяется водород, а на аноде окисляются хлорид-ионы и вы­деляется хлор:

Электролиз раствора нитрата серебра. На катоде восстанавливаются катионы Ag+ и выделяется серебро, на аноде окисляются молекулы воды и вы­деляется кислород:

Применение. Электролиз расплавов используют для получения фтора, активных металлов (натрий, калий, магний, кальций, алюминий). Электролиз растворов ис­пользуют для получения хлора, щелочей, очистки ме­таллов (электрорафинирование).

Билет №12 (углубленно).

Электролиз растворов и расплавов солей (на примере хлорида натрия). Практическое значение электролиза.

Совокупность химических реакций, которые протекают на электро­дах в растворах или расплавах при пропускании через них электричес­кого тока, называется электролизом.

Указанную совокупность реакций принято подразделять на пер­вичные и вторичные процессы. Первичные процессы — окислительно-восстановительные реакции, протекающие на электродах и ведущие, как правило, к образованию электрически нейтральных активных мо­лекулярных или атомных частиц. Вторичные процессы — реакции вза­имодействия активных частиц, образовавшихся в первичных процес­сах, со средой. Например, при электролизе раствора сульфата нат­рия протекают следующие электродные реакции:

Первичные реакции

Вторичные  реакции

Приведенная совокупность химических реакций может быть пред­ставлена суммарным процессом:

Из этого примера видно, что при электролизе, как и при работе химического источника тока, на аноде происходят процессы окисле­ния, а на катоде — восстановления. При этом анод заряжен положи­тельно (+), а катод — отрицательно (—). Отметим, что при работе химического источника тока, напротив, анод заряжается отрицатель­но, а катод — положительно, поскольку в этом случае протекают процессы, обратные электролизу.

При электролизе как на аноде, так и на катоде могут происходить конкурирующие процессы.

При проведении электролиза с использованием инертного (нерас­ходуемого) анода (например, графита), как правило, конкурирующими являются два окислительных и два восстановительных процесса:

на аноде — окисление анионов и гидроксид-ионов

на катоде — восстановление катионов и ионов водорода

При проведении электролиза с использованием активного (расхо­дуемого) анода процесс усложняется и конкурирующими реакциями на электродах являются следующие:

на аноде — окисление анионов и гидроксид-ионов;

анодное растворение металла — материала анода

на катоде — восстановление катиона соли и ионов водорода;

восстановление катионов металла, полученных при растворении анода

При выборе наиболее вероятного процесса на аноде и катоде сле­дует исходить из положения, что будет протекать та реакция, для которой требуется наименьшая затрата энергии. Кроме того, для вы­бора наиболее вероятного процесса на аноде и катоде при электро­лизе растворов солей с нерасходуемым электродом используют следую­щие правила.

1. На аноде могут образовываться следующие продукты: а) при окислении анионов  выделяется кислород; б) при окислении анионов  выделяются соответственно хлор, бром, иод; в) при окислении анконов органических кислот про­исходит процесс:

2. Если конкурирующими процессами на катоде является восста­новление катионов (металл стоит в электрохимическом ряду напря­жений металлов левее водорода) и ионов водорода, то при этом выде­ляется водород.

В тех случаях, когда в процессе электролиза используется ак­тивный (расходуемый) анод, то последний будет окисляться в ходе электролиза и переходить в раствор в виде катионов. Энергия элект­рического тока при этом расходуется ка перенос металла с анода на катод. Данный процесс широко используется при рафинировании (очистка) металлов. Так, на этом принципе основано, в частности, получение чистой меди из загрязненной. В раствор медного купоро­са погружают пластины из очищенной и неочищенной меди. Плас­тины соединяют с источником постоянного тока таким образом, чтобы первая из них (очищенная медь) была отрицательным электродом (катод), а вторая — положительным (анод). В результате пластина из неочищенной меди растворяется и ионы меди из раствора осаждают­ся на катоде. При этом примесь остается в растворе или оседает на дно ванны. Этот же принцип используется для защиты метал­лов от коррозии путем нанесения на защищаемое изделие тонких слоев хрома или никеля.

Для получения высокоактивных металлов (натрия, алюминия, маг­ния, кальция и др.), легко вступающих во взаимодействие с водой, применяют электролиз расплава солей:

Зависимость количества вещества, образовавшегося под действием электрического тока, от времени, силы тока и природы электроли­та может быть установлена на основании обобщенного закона Фа-радея:

где m — масса образовавшегося при электролизе i-вещества (г); Э — эквивалентная масса i-вещества (г/моль); М — молярная масса i-вещества (г/моль); n — заряд i-иона; I — сила тока (A); t — продолжительность процесса; F — константа Фарадея, характери­зующая количество электричества, необходимое для выделения 1 экви­валентной массы вещества (F = 96 500 К = 26,8 А•ч).

Билет №13.

Водородные соединения неметаллов. Закономерности в изменении их свойств в связи с положением химических элементов в периодической системе Д. И. Менделеева.

Гидриды. В соединениях с неметаллами водород проявляет степень окисления +1. Поскольку энергия ионизации водорода очень большая, химическая связь его с неметаллами не ионная, а полярно-ковалентная. Наиболее электроотрицательные р-элементы в правой части периодов, например сера и хлор, реагируют с водородом, образуя ковалентные гидриды, которые обладают кислотными свойствами и сила этих кислот увеличивается по мере увеличения размера атома присоединяемого к водороду неметалла. Исключениями являются метан СН4, представляющий собой нейтральное соединение, а также аммиак NH3, обладающий основными свойствами. Водородные соединения неметаллов хорошо растворимы в воде и образуют кислоты с теми же формулами.

Более электроотрицательные р-элементы, например алюминий, кремний и фосфор, в нагретом состоянии не реагируют с водородом.

Билет №14.

Высшие оксиды химических элементов третьего периода. Закономерности в изменении их свойств в связи с положением химических элементов в периодической системе Д. И. Менделеева. Характерные химические свойства оксидов: основных, амфотерных, кислотных.

Реакционная способность элементов во взаимодействии с кислородом, вообще говоря, уменьшается при перемещении вправо вдоль каждого периода. На­пример, в 3-м периоде два s-металла, натрий и магний, и два р-элемента, алюминий и фосфор, бурно реагируют с кислородом, образуя оксиды. В том же периоде элементы кремний и сера способны только медленно реагировать с кислородом. Хлор и аргон, расположенные в правом конце периода, вообще не реагируют с кислородом.

Электроположительные s-металлы образуют ионные оксиды, как, например, оксид натрия Na2O и оксид магния MgO. Оксиды элементов, расположенных в средней и правой частях периода, являются преимущественно ковалентными соединениями, как, например, оксиды азота и серы.

Кислотно-основный характер оксидов тоже изменяется от основного у оксидов элементов левой части периода к амфотерному у оксидов элементов средней части периода и далее к кислотному у оксидов элементов правой части периода. Например, s-металлы обычно образуют оксиды, которые растворяются в воде с образованием щелочных растворов:

Молекулярные оксиды р-элементов, например диоксид углерода и триоксид серы, обычно обладают кислотными свойствами. Закономерное изменение основных свойств с переходом к кислотным свойствам наглядно проявляется у оксидов элементов 3-го периода.

Билет №15.

Кислоты, их классификация и химические свойства на основе представлений об электролитической диссоциации. Особенности свойств концентрированной серной кислоты на примере взаимодействия с медью.

Кислота — сложное вещество, при диссоциации которого образуется только один тип катионов — ионы водорода.

Классификация кислот.

Соляная кислота — водный раствор газа хлоро-водорода в воде.

Химические свойства. Кислоты изменяют цвет индикаторов: лакмус окрашивается в красный цвет, метилоранж — в желтый.

При реакции с основаниями образуется соль и вода (реакция нейтрализации). В реакцию вступают как растворимые, так и нерастворимые в воде основания:

При реакции с основными оксидами образуются со ли:

Кислоты реагируют с металлами, находящимися в ряду напряжений до водорода, при этом выделяется газо­образный водород и образуется соль:

Сильные кислоты реагирует с солями слабых ки­слот, вытесняя слабые кислоты из их солей:

Получение кислот. Многие кислоты можно полу­чить при реакции кислотных оксидов с водой:

Концентрированная серная кислота при обычной температуре не действует на многие металлы. По этой причине, например, без­водная серная кислота в отличие от её растворов может сохра­няться в железной таре.

Но концентрированная серная кислота действует почти на все металлы при нагревании. При этом образуются соли серной кис­лоты, однако водород не выделяется, а получаются другие вещест­ва, например сернистый газ.

Так, при нагревании  концентрированной серной кислоты с медью вначале серная кислота окисляет медь до окиси меди, а сама восстанавливается при этом до сернистой кислоты, которая тотчас же разлагается на сернистый газ и воду:

Образовавшаяся окись меди реагирует с избытком серной кис­лоты, образуя соль и воду:

Таким образом, окись меди является промежуточным вещест­вом в этой реакции. Сложив эти уравнения, мы получим ито­говое уравнение реакции, в которое входят только исходные и ко­нечные вещества:

Билет №16.

Основания, их классификация и химические свойства на основе представлений об электролитической диссоциации.

Основания — электролиты, при диссоциации ко­торых образуется только один вид анионов — гидроксид-ионы.

Классификация оснований

1. Растворимые в воде (щелочи) — гидроксиды металлов главных подгрупп I и II групп.

2. Нерастворимые в воде — гидроксиды остальных металлов.

Химические свойства. Щелочи изменяют окраску индикаторов (лакмус становится синим, фенолфталеин – малиновым).

Взаимодействие с кислотами:

Взаимодействие с кислотными оксидами:

Растворы щелочей вступают в реакции ионного обмена с растворами солей, если образующийся при этом гидроксид нерастворим в воде:

При нагревании слабые основания разлагаются на оксиды металлов и воду:

Получение оснований. Щелочи получают электро­лизом растворов солей.

Электролиз раствора хлорида натрия. Процессы на катоде и аноде:

Уравнение реакции:

Нерастворимые в воде основания получают реакци­ей обмена со щелочами:

Билет №17.

Средние соли, их состав, названия, химические свойства (взаимодействие с металлами, кислотами, щелочами, друг с другом с учетом особенностей реакций окисления-восстановления и ионного обмена).

Соли — электролиты, в растворах которых есть кати­оны металлов или ион аммония и анионы кислотных остатков.

Названия: название аниона + название катиона в ро­дительном падеже + степень окисления металла.

1.B водных растворах соли могут реаги­ровать со щелочами. Так, хлористый магний MgCl2 взаимодействует с едким натром, образуя новую соль и новое основание:

2. Соли могут реагировать с кислотами. Так, раствор азотнокислого бария Ва(гЮз)а взаимодействует с рас­твором серной кислоты, образуя новую кислоту и новую соль:

З.В водных растворах соли могут реаги­ровать между собой.

Если слить вместе водные растворы хлористого кальция CaCl2 я углекислого натрия Na2CO3 TO тотчас же образуется белый оса­док нерастворимого в воде углекислого кальция СаСО3, а в рас­творе — хлористый натрий:

4. В водных растворах солей металл, вхо­дящий в их состав, может замещаться дру­гим металлом, стоящим до него в ряду ак­тивности.

Если в раствор сернокислой меди опустить чистую железную проволоку или кусочек цинка, то на их поверхности выделяется медь, а в растворе образуется сернокислое железо (если было опущено железо) или сернокислый цинк (если был опущен цинк):

Но из сернокислого цинка нельзя вытеснить цинк медью: медь в ряду активности стоит после цинка.

Билет №18.

Гидролиз солей (разобрать первую стадию гидролиза солей, образованных сильным основанием и слабой кислотой, слабым основанием и сильной кислотой).

Взаимодействие ионов соли с водой, в результате которого образуются малодиссоциирующие соединения (ионы или молеку­лы), называют гидролизом соли

Четыре типа солей, которые по-разному взаимодей­ствуют с водой.

I. Соль образована сильным основанием и сильной кислотой.

NaCI + НОН — ни один из ионов соли с водой не вза-имодействет. Реакция среды нейтральная.

II. Соль образована сильным основанием и слабой кислотой.

- реакция среды щелоч­ная.

Гидролиз солей, образованных сильным основанием и слабой кислотой, заключается в присоединении анионами кислотного остатка ионов водорода и накоплении в растворе гидроксид-ионов, образующихся при диссоциации воды.

Теперь выясним, почему раствор хлорида алюминия приобрел кислую реакцию среды. В растворе АlСl3 диссоциирует на ионы:

Столкновение ионов Н+ и С– к образованию соединения не приводит. Из имеющихся в растворе ионов малодиссоциирующий продукт образуют ионы Аl3+ и ОН–. Связывание ионов ОН– в малодиссоциирующий ион АlOН2+ (К= 1,38 • 10–9) вызывает дальнейший распад молекул воды на ионы:

Таким образом, в растворе хлорида алюминия осуществляет­ся реакция, в результате которой появляется избыток ионов Н+, т. е. раствор приобретает кислую реакцию. Подобным образом ведут себя в растворах все соли, образованные слабым основа­нием и сильной кислотой.

III. Соль образована слабым основанием и сильной кислотой.

— реакция среды кислая.

Гидролиз соли, образованной слабым основанием и сильной кислотой, заключается в присоединении катионами металла гидроксид-ионов и накоплении в растворе ионов водорода, образую­щихся при диссоциации воды. Гидролиз хлорида алюминия можно выразить уравнением реакции:

IV. Соль образована слабым основанием и слабой кислотой.

Реакция среды зависит от сравнительной силы кисло­ты и основания. В некоторых случаях гидролиз идет до конца:

Билет №19.

Коррозия металлов (химическая и электрохимическая). Способы предупреждения коррозии.

Разрушение металлов и сплавов вследствие химического взаимодействия их с окружающей средой называются коррозией металлов.

Коррозию, вызванную непосредственным химическим взаимодействием между металлом и окружающей средой, называют химической коррозией.

Химическая коррозия — окисление металла без воз­никновения гальванической пары. Газовая коррозия — при t > 600°С:

Коррозию, сопровождающуюся возникновением электрического тока за счет появления гальванической пары, называют электрохимической коррозией.

Электрохимическая коррозия – разрушение металла в электролите с возникновением гальванической пары.

 – ионы выходят в раствор, электроны перемещаются к менее активному металлу, например к меди.

 – разряжаются на менее активном ме­талле, например на меди.

Одним из наиболее широко распространенных видов элек­трохимической коррозии является ржавление обычной стали в водной среде и на воздухе. На поверхности металлических изделий всегда имеется пленка влаги, адсорбированной из воз­духа. Она является электролитом, так как в ней растворены раз­личные газы (СО2, SO2 и др.). Зерна карбида железа Fe3С химически менее активны, чем железо. Поэтому возникают микрогальваническис элементы: зерна Fe3С играют роль катодов, а зерна чистого железа — роль анодов. Железо разрушается — оно ржавеет. Протекающие при этом процессы весьма сложные. Укажем лишь суммарное уравнение реакции:

Ржавчина имеет неопределенный состав

Для защиты от коррозии металлов широко используют лако­красочные покрытия. Однако краски не вечны, изделия прихо­дится перекрашивать. На это затрачивается ручной труд, расхо­дуется много лакокрасочных материалов.

Из неметаллических покрытий для защиты стали и чугуна большое значение имеет эмаль. Эмаль — это силикатное стекло с добавками оксидов металлов. Ее наносят на поверхность ма­териала в виде порошка и обжигают при 500—1000 °С.

Покрытия из эмалей обладают стойкостью по отношению к щелочам и кислотам, длительно противостоят атмосферной кор­розии. Но эмаль легко разрушается при ударе. Благодаря тер­мостойкости, декоративному виду, легкости очистки эмаль широ­ко используется для покрытия изделий домашнего хозяйства и санитарной техники.

С целью защиты металлов от коррозии (и для декоративных целей) издавна используют металлические покрытия. Железо оцинковывают, лудят (покрывают оловом), покрывают никелем, хромируют и т. д.

Защитить металл от коррозии можно с помощью металла и другим способом. Например, если соединить железное изделие или сооружение проводником с куском более активного металла, например магния, то возникает гальванический элемент. При этом сооружение (железо) играет роль катода, а более активный металл выполняет роль анода. Анод разруша­ется, а катод — защищаемый металл — не изменяется. Такая защита называется протекторной.

Одним из способов борьбы с коррозией является использова­ние ингибиторов. Это химические соединения, ничтожные кон­центрации которых способны почти полностью предотвращать коррозию. В некоторых случаях применение ингибиторов позво­ляет изготовлять аппаратуру из обычной стали вместо нержа­веющей.

Одно из наиболее эффективных направлений борьбы с кор­розией  металлов — создание коррозионно-стойких сплавов. В больших количествах выплавляют так называемые нержавею­щие стали. В их состав входят металлы (хром, никель), обра­зующие устойчивые защитные оксидные пленки.

Билет №20.

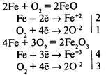
Окислительно-восстановительные реакции (разобрать на примерах взаимодействия алюминия с оксидом железа (III), азотной кислоты с медью).

К окислительно-восстановительным реакциям могут быть отнесены химические реак­ции следующих типов.

Реакции замещения (вытеснения)

Примером реакций этого типа может служить реакция между оксидом железа (III) и алюминием. В этой реакции алюминий вытесняет железо из раствора, причем сам алюминий окисляется, а железо восстанавливается.

Приведем еще два примера:

В этой реакции хлор вытесняет бром из раствора (хлор окисляется, бром восстанавливается), содержащего ионы брома.

Реакции металла с кислотами

Эти реакции, в сущности, тоже представляют собой реакции замещения. В качестве примера приведем реакцию между медью и азотной кислотой. Медь вытесняет водород из кислоты. При этом происходит окисление меди, которая превращается в гидратированный катион, а содержащиеся в растворе кислоты гидратированные протоны азота восстанавливаются, образуя оксид азота.

Реакции металлов с водой

Эти реакции тоже принадлежат к типу реакций замещения. Они сопровождаются вытеснением из воды водорода в газообразном состоянии. В качестве примера приведем реакцию между металлическим натрием и водой:

Реакции металлов с неметаллами

Эти реакции могут быть отнесены к реакциям синтеза. В качестве примера приведем образование хлорида натрия в результате сгорания натрия в атмосфере хлора

Билет №21.

Железо, положение в периодической системе, строение атома, возможные степени окисления, физические свойства, взаимодействие с кислородом, галогенами, растворами кислот и солей. Сплавы железа. Роль железа в современной технике.

Железо находится в побочной подгруппе VIII группы периодической системы. Электронная формула атома железа:

Типичные степени окисления железа +2 и +3. Степень окисления +2 проявляется за счет потери двух 4s-электронов. Степень окисления +3 соответствует также при потере еще одного Зd-электрона, при этом Зd-уровень оказывается заполненным наполовину; такие электронные конфигурации относительно устойчивы.

Физические свойства. Железо – типичный металл, образует металлическую кристаллическую решетку. Железо проводит электрический ток, довольно тугоплавко, температура плавления 1539°С. От большинства других металлов железо отличается способностью намагничиваться.

Химические свойства. Железо реагирует со многими неметаллами:

Образуется железная окалина – смешанный оксид железа. Его формулу записывают также так: FeО•Fe2О3.

Реагирует с кислотами с выделением водорода:

Вступает в реакции замещения с солями металлов, расположенных правее железа в ряду напряжений:

Соединения железа. FeО — основной оксид, реагирует с растворами кислот с образованием солей железа (II). Fe2О3 — амфотерный оксид, реагирует также с рас творами щелочей.

Гидроксиды железа. Fe(ОН)2 — типичный основ­ной оксид, Fe(ОН)3 обладает амфотерными свойствами, реагирует не только с кислотами, но и с концентриро­ванными растворами щелочей.

Гидроксид железа (II) легко окисляется до гидроксида железа (III) кислородом воздуха:

При реакции солей железа (II) и (III) со щелочами в осадок выпадают нерастворимые гидроксиды:

Сплавы железа. Современная металлургическая промышленность производит железные сплавы разнообразного состава.

Все железные сплавы разделяются по составу и свойствам на две группы. К первой группе относятся различные сорта чугуна, ко второй — различные сорта стали.

Чугун хрупок; стали же пластичны, их можно ковать, прокаты^ вать, волочить, штамповать. Различие в механических свойствах чугунов и сталей зависит прежде всего от содержания в них угле­рода — в чугунах содержится около 4% углерода, а в сталях — обычно менее 1,4%.

В современной металлургии из железных руд получают сначала чугун, а затем из чугуна — сталь. Чугун выплавляют в доменных печах, сталь варят в сталеплавильных печах. До 90% всего вы­плавленного чугуна перерабатывают в стали.

Чугун. Чугун, предназначенный для переработки в сталь, на­зывают передельным чугуном. Он содержит от 3,9 до 4,3% С, 0,3—1,5% Si, 1,5—3,5% Мn, не более 0,3% Р и не более 0,07% S. Чугун, предназначенный'для получения отливок, назы­вается литейным чугуном, В доменных печах выплав­ляются также ферросплавы, применяемые преимущест­венно в производстве сталей в качестве добавок. Ферросплавы имеют, по сравнению с передельным чугуном, повышенное со­держание кремния (ферросилиций), марганца (ферромарганец), хрома (феррохром) и других элементов.

Стали. Все стали делятся на углеродистые и легированные.

Углеродистые стали содержат в несколько раз меньше углерода, кремния и марганца, чем чугун, а фосфора и серы совсем мало. Свойства углеродистой стали зависят прежде всего от содержания в ней углерода: чем больше в стали углерода, тем она твёрже. Промышленность производит мягкие стали, стали средней твёрдости и твёрдые. Мягкие стали и стали средней твёр­дости применяются для изготовления деталей машин, труб, болтов, гвоздей и т. д., а твёрдые стали—для изготовления инструментов.

В сталях должно быть возможно меньше серы и фосфора, так как эти примеси ухудшают механические свойства сталей. В по­вышенных количествах сера вызывает красноломкость — образо­вание трещин при горячей механической обработке металла. Фосфор вызывает хладноломкость—хрупкость стали при обыкно­венной температуре. -

Легированные стали. Физические, химические и механические свойства сталей существенно изменяются от введе­ния в их состав повышенного количества марганца и кремния, а также хрома, никеля, вольфрама и других элементов. Эти элементы называются легирующими, а стали — легированными [от латинского слова ligare – связывать, соединять].

Наиболее широко в качестве легирующего элемента приме­няется хром. Особенно большое значение для сооружения машин, аппаратов и многих деталей машин имеют хромоникелевые стали. Эти стали обладают высокой пластичностью, проч­ностью, жаростойкостью и стойкостью к действию окислителей. Азотная кислота любой концентрации не разрушает их даже при температурах кипения. Хромоникелевые стали не ржавеют в атмосферных условиях и в воде. Блестящие, серебристого цвета, листы хромоникелевой стали украшают арки станции «Маяков­ская» Московского метро. Из этой же стали делают нержавеющие ножи, ложки, вилки и другие предметы домашнего обихода.

Молибден и ванадий повышают твёрдость и прочность сталей при повышенных температурах и давлениях. Так, хромомолибденовые и хромованадиевые стали приме­няются для изготовления трубопроводов и деталей компрессо­ров в производстве синтетического аммиака, авиационных моторов.

При резании с большой скоростью инструмент сильно разогре­вается и быстро изнашивается. При добавлении вольфрама твёр­дость стали сохраняется и при повышенных температурах. По­этому хромовольфрамовые стали применяются для из­готовления режущих инструментов, работающих при больших скоростях    '

Увеличение содержания в стали марганца повышает её сопро­тивление трению и удару. Марганцовистые стали применяются для изготовления железнодорожных скатов, стре­лок, крестовин, камнедробильных машин.

Применение легированных сталей позволяет значигельно сни­зить вес металлических конструкций, повысить их прочность, дол­говечность и надёжность в эксплуатации.

Билет №22.

Высшие кислородосодержащие кислоты химических элементов третьего периода, их состав и сравнительная характеристика свойств.

Фосфор образует целый ряд кислородсодержащих кислот (оксокислот). Некоторые из них мономерны. например фосфиновая, фосфористая и фосфорная(V) (ортофосфорная) кислоты. Кислоты фосфора могут быть одноосновными (однопротонными) либо многоосновными (многопротонными). Кроме того, фосфор образует еще полимерные оксокислоты. Такие кислоты могут иметь ациклическое либо циклическое строение. Например, дифосфорная(V) (пирофосфорная) кислота представляет собой димерную оксокислоту фосфора.

Наиболее важной из всех этих кислот является фосфорная(V) кислота (другое ее название - ортофосфорная кислота). При нормальных условиях она представляет собой белое кристаллическое вещество, расплывающееся при поглощении влаги из воздуха. Ее 85%-ный водный раствор называют «сиропообразной фосфорной кислотой». Фосфорнця(V) кислота является слабой трехосновной кислотой:

Хлор образует несколько кислородсодержащих кислот. Чем выше степень окисления хлора в этих кислотах, тем выше их термическая устойчивость и сила кислоты:

НОCl < НСlO2 < НСlO3 < НClO4

НClO3 и НClO4 – сильные кислоты, причем НСlO4 – одна из самых сильных среди всех известных кислот. Остальные две кислоты лишь частично диссоциируют в воде и существуют в водном растворе преимущественно в молекулярной форме. Среди кислородсодержащих кислот хлора только НСlO4 удается выделить в свободном виде. Остальные кислоты существуют только в растворе.

Окислительная способность кислородсодержащих кислот хлора уменьшается с возрастанием его степени окисления:

НОСl и НClO2 – особенно хорошие окислители. Например, кислый раствор НОCl:

1) окисляет ионы железа (II) до ионов железа (III):

2) на солнечном свету разлагается с образованием кислорода:

3) при нагревании приблизительно до 75 °С он диспропорционирует на хлорид-ионы и хлорат (V)-ионы:

Остальные высшие кислотсодержащие кислоты элементов третьего периода (H3AlO3, H2SiO3) более слабые, чем фосфорная кислота. Серная кислота (H2SO4) менее сильнае, чем хлорная (VII) кислота, но более сильная, чем фосфорная кислота. Вообще, при увеличении степени окисления элемента, образующего кислоту, увеличивается сила самой кислоты:

H3AlO3 < H2SiO3 < H3PO4 < H2SO4 < НСlO4

Билет №23.

Общие способы получения металлов.

Металлы находятся в природе преимущественно в виде соеди­нений. Только металлы с малой химической активностью (благо­родные металлы) встречаются в природе в свободном состоянии (платиновые металлы, золото, медь, серебро, ртуть). Из кон­струкционных металлов в достаточном количестве имеются в природе в виде соединений лишь железо, алюминий, магний. Они образуют мощные залежи месторождений относительно бо­гатых руд. Это облегчает их добычу в больших масштабах.

Поскольку металлы в соединениях находятся в окисленном состоянии (имеют положительную степень окисления), то полу­чение их в свободном состоянии сводится к процессу восста­новления:

Этот процесс можно осуществить химическим или электро­химическим путем.

При химическом восстановлении в качестве восстановителя чаще всего применяют уголь или оксид углерода (II), а также водород, активные металлы, кремний. С помощью оксида углерода (II) получают железо (в доменном процессе), многие цвет­ные металлы (олово, свинец, цинк и др.):

Восстановление водородом используется, например, для по­лучения вольфрама из оксида вольфрама (VI):

Применение в качестве восстановителя водорода обеспечивает наибольшую чистоту получаемого металла. Водород используют для получения очень чистого железа, меди, никеля и других ме­таллов.

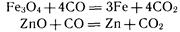
Способ получения металлов, в котором в качестве восста­новителя применяют металлы, называют металлотермическим. В этом способе в качестве восстановителя используют активные металлы. Примеры металлотермических реакций:

алюминотермия:

магниетермия:

Металлотермические опыты получения металлов впервые осу­ществил русский ученый Н. Н. Бекетов в XIX в.

Металлы наиболее часто получают восстановлением их окси­дов, которые в свою очередь выделяют из соответствующей при­родной руды. Если исходной рудой являются сульфидные мине­ралы, то последние подвергают окислительному обжигу на­пример:

Электрохимическое получение металлов осуществляется при электролизе расплавов соответствующих соединений. Таким путем получают наиболее активные металлы, щелочные и ще­лочноземельные металлы, алюминий, магний.

Электрохимическое восстановление применяют также для ра­финирования (очистки) «сырых» металлов (меди, никеля, цинка и др.), полученных другими способами. При электролитическом рафинировании в качестве анода используют «черновой» (с при­месями) металл, в качестве электролита — раствор соединений данного металла.

Способы получения металлов, осуществляемые при высоких температурах, называют пирометаллургическими (по-гречески pyr — огонь). Многие из этих способов известны с древних времен. На рубеже XIX—XX вв. начинают развиваться гидро­металлургические способы получения металлов (по-гречески hydor—вода). При этих способах компоненты руды переводят в водный раствор и далее выделяют металл электролитическим или химическим восстановлением. Так получают, например, медь. Медную руду, содержащую оксид меди (II) CuО, обрабатывают разбавленной серной кислотой:

Для восстановления меди полученный раствор сульфата меди (II) либо подвергают электролизу, либо действуют на раствор порошком железа.

Гидрометаллургический способ имеет большое будущее, так как позволяет получать продукт, не извлекая руду из земли. (Сравните достоинства гидрометаллургического способа получе­ния металлов с подземной газификацией угля.)


© 2012 Скачать рефераты, курсовые работы, доклады и дипломные работы.